Vancouver, BC, April 17, 2024 – New Found Gold Corp. (“New Found” or the “Company”) (TSX-V: NFG, NYSE-A: NFGC) is pleased to announce the results from 85 diamond drill holes that were completed as part of multiple drill programs designed to expand and follow up on high-grade gold mineralization across several discovery areas located on the east side of the highly prospective Appleton Fault Zone (“AFZ”) spanning a 3km corridor from Golden Joint to Everest. New Found’s 100%-owned Queensway project comprises a 1,665 km2 area, accessible via the Trans-Canada Highway, 15km west of Gander, Newfoundland and Labrador.
Jackpot, Honeypot, and Everest Highlights:

Note that the host structures are interpreted to be steeply dipping and true widths are generally estimated to be 170% to 95% and 240% to 70%. Infill veining in secondary structures with multiple orientations crosscutting the primary host structures are commonly observed in drill core which could result in additional uncertainty in true width. Composite intervals reported carry a minimum weighted average of 1 g/t Au diluted over a minimum core length of 2m with a maximum of 4m consecutive dilution when above 200m vertical depth and 2m consecutive dilution when below 200m vertical depth. Included high-grade intercepts are reported as any consecutive interval with grades greater than 10 g/t Au. Grades have not been capped in the averaging and intervals are reported as drill thickness.
- At Honeypot, a new discovery initially announced on January 10, 2024, continued follow-up drilling aimed at extending the high-grade domain successfully intercepted 14.8 g/t Au over 5.00m in NFGC-24-2063, which is located a further 84m down-plunge from previously released 26.4 g/t Au over 7.65m in NFGC-23-1810 (Figures 2 and 3).
- 7.25 g/t Au over 4.50m in NGFC-23-1806A, 2.24 g/t Au over 10.90m in NFGC-23-1796, and 10.2 g/t Au over 2.25m in NFGC-23-1886 are additional highlight intervals that occur within the Honeypot high-grade domain, which plunges steeply to the east and is currently 50m wide and 200m deep. Located 1.2km north of Lotto, the Honeypot host structure has been drill-defined over a strike length of 280m and remains open along strike and to depth.
- A further 230m south at Jackpot, the remainder of the outstanding assay results have been received from initial drilling designed to determine the extent of near-surface high-grade mineralization that is hosted by an east-west striking, steeply south-dipping structure. Today’s highlight interval of 11.3 g/t Au over 3.65m in NFGC-23-1627 more than doubles the down-plunge extent of the high-grade domain at Jackpot to 155m from the previously reported 75m (November 14, 2023) (Figures 1, 2 and 4).
- Additional highlight intervals reported today from Jackpot include 43.1 g/t over 2.00m in NFGC-23-1418 which occurs at surface and 1.02 g/t Au over 13.95m in NFGC-23-1668 located 195m down-plunge. Other previously released high-grade intervals include 119 g/t Au over 4.10m in NFGC-23-1425 (September 5, 2023), 18.2 g/t Au over 6.75m in NFGC-23-1523 (November 14, 2023), and 51.9 g/t Au over 2.85m in NFGC-23-1447 (October 18, 2023). These intervals all occur within a region of the fault that demonstrates strong continuity of gold mineralization that plunges to the southwest and covers an area averaging 75m wide and 250m long that remains open at depth.
Golden Joint Highlights:

Note that the host structures are interpreted to be steeply dipping and true widths are generally estimated to be 170% to 95% and 310% to 40%. Infill veining in secondary structures with multiple orientations crosscutting the primary host structures are commonly observed in drill core which could result in additional uncertainty in true width. Composite intervals reported carry a minimum weighted average of 1 g/t Au diluted over a minimum core length of 2m with a maximum of 4m consecutive dilution when above 200m vertical depth and 2m consecutive dilution when below 200m vertical depth. Included high-grade intercepts are reported as any consecutive interval with grades greater than 10 g/t Au. Grades have not been capped in the averaging and intervals are reported as drill thickness.
- At Golden Joint, outstanding results from the barge drilling, a program designed to target the upper portions of the Golden Joint zone that is not reachable by land (see previous release, October 23, 2023), have been received. Results include 14.4 g/t Au over 2.50m in NFGC-23-1559 that occurs 16m below surface and 4.91 g/t Au over 8.05m in NFGC-23-1501A that occurs just 30m below surface. These results along with others reported in today’s release infill and confirm the near-surface high-grade continuity of Golden Joint (Figures 2 and 5).
Lotto and Lotto North Highlights:

Note that the host structures are interpreted to be steeply dipping and true widths are generally estimated to be 170% to 95%, 240% to 70%, and 310% to 40%. 4True widths are unknown at this time. Infill veining in secondary structures with multiple orientations crosscutting the primary host structures are commonly observed in drill core which could result in additional uncertainty in true width. Composite intervals reported carry a minimum weighted average of 1 g/t Au diluted over a minimum core length of 2m with a maximum of 4m consecutive dilution when above 200m vertical depth and 2m consecutive dilution when below 200m vertical depth. Included high-grade intercepts are reported as any consecutive interval with grades greater than 10 g/t Au. Grades have not been capped in the averaging and intervals are reported as drill thickness.
- At Lotto North, the remaining results have been received from a program targeting the Lotto North structure (see previous release, January 10, 2023), interpreted to be the fault-displaced northern segment of the Lotto Main Vein in addition to results targeting mineralization in the region between the Lotto Main Vein and the AFZ. This area is known as Lotto Footwall (‘FW’) and contains the “Sunday” and “Tuesday” (June 8, 2022) veins (Figures 2 and 4).
- At Lotto, the highlight interval of 16.6 g/t Au over 2.00m in NFGC-23-1681 was intercepted 40m down-dip of previously reported 18.1 g/t Au over 6.50m in NFGC-20-44 in the Sunday Vein (January 14, 2021) in the Lotto FW region.
- At Lotto North, the notable intervals of 12.2 g/t Au over 2.00m and 10.5 g/t Au over 2.45m in NFGC-22-1009, and 1.64 g/t Au over 9.95m in NFGC-23-1156 are located near surface and in an area where the Lotto North structure intersects the AFZ.
Dome Highlights:

4True widths are unknown at this time. Infill veining in secondary structures with multiple orientations crosscutting the primary host structures are commonly observed in drill core which could result in additional uncertainty in true width. Composite intervals reported carry a minimum weighted average of 1 g/t Au diluted over a minimum core length of 2m with a maximum of 4m consecutive dilution when above 200m vertical depth and 2m consecutive dilution when below 200m vertical depth. Included high-grade intercepts are reported as any consecutive interval with grades greater than 10 g/t Au. Grades have not been capped in the averaging and intervals are reported as drill thickness.
- A small program consisting of two holes was completed testing the eastern continuation of the east-west striking Dome structure located between Golden Joint and Lotto, an area that was sparsely tested with previous drilling efforts. The structure was found to continue and returned the highlight interval of 19.4 g/t Au over 2.00m in NFGC-23-1999 extending Dome a further 44m to the east.
Melissa Render, VP of Exploration of New Found, stated: “Honeypot and Jackpot were two discoveries that were somewhat of a surprise in terms of their mineralizing strength and continuity given they are 300m and 340m east of the AFZ, respectively. Akin to the neighbouring Lotto discovery, they can concentrate considerable high grade gold. These are important structures, and both are visible in the seismic data where they appear to persist to depth. We are actively using the seismic data to look for structural anomalies along these faults to target with deeper drilling. Both shoots remain open both laterally and vertically, where shallow growth targets will also be tested. We also continue to reevaluate other discovery areas such as Dome, Lotto, and Golden Joint, where initial programs did not close off the mineralization, and in some cases overstepped prospective regions due to broad-spaced drilling. The prospective window around the AFZ has grown producing an expansive region for continued exploration.”

^Note that these photos are not intended to be representative of gold mineralization in NFGC-23-1627(Jackpot) and NFGC-23-1886 (Honeypot).





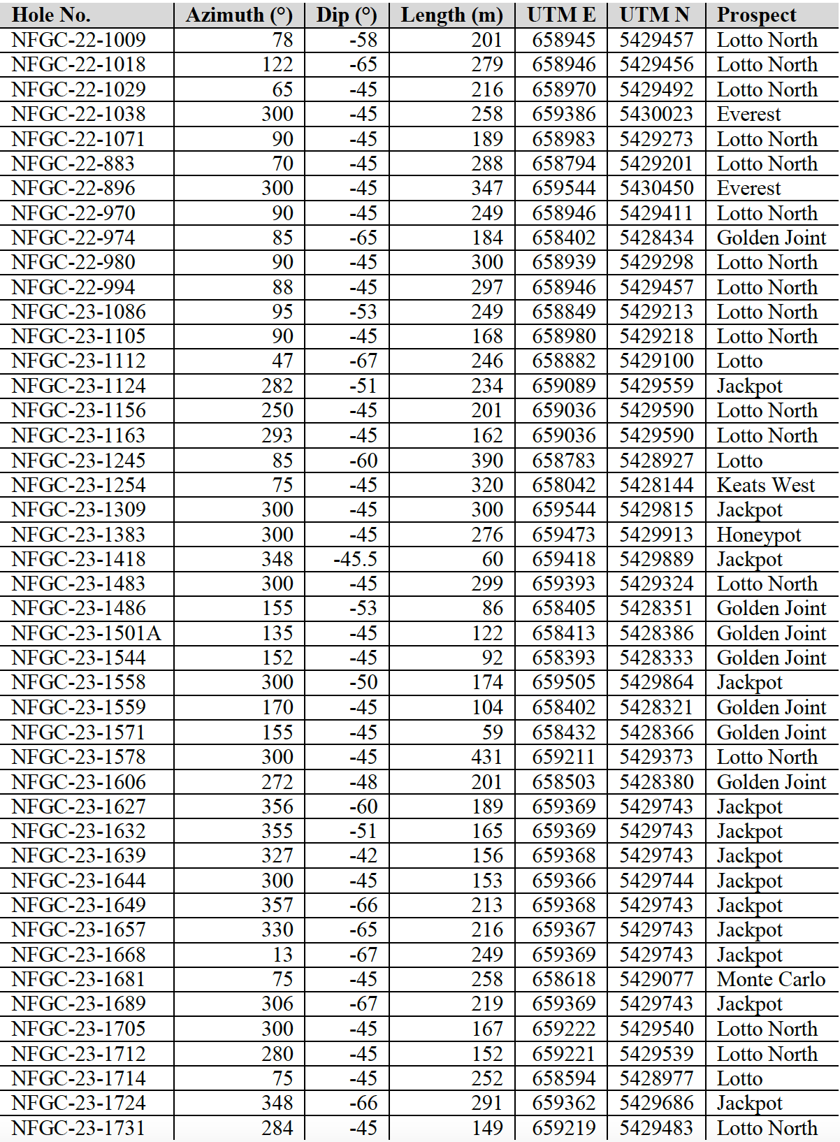
Drillhole Details



Golden Joint, Dome, Lotto, Lotto North, Jackpot and Honeypot
Note that the host structures are interpreted to be moderately to steeply dipping and true widths are generally estimated to be 170% to 95%, 240% to 70%, and 310% to 40% of reported intervals. 4True widths are unknown at this time. Infill veining in secondary structures with multiple orientations crosscutting the primary host structures are commonly observed in drill core which could result in additional uncertainty in true width. Composite intervals reported carry a minimum weighted average of 1 g/t Au diluted over a minimum core length of 2m with a maximum of 4m consecutive dilution when above 200m vertical depth and 2m consecutive dilution when below 200m vertical depth. Included high-grade intercepts are reported as any consecutive interval with grades greater than 10 g/t Au. Grades have not been capped in the averaging and intervals are reported as drill thickness. *Previously reported interval.


Queensway 650,000m Drill Program Update
The Company is currently undertaking a 650,000m drill program at Queensway and approximately 3,200m of core is currently pending assay results.
Sampling, Sub-sampling, and Laboratory
All drilling recovers HQ core. The drill core is split in half using a diamond saw or a hydraulic splitter for rare intersections with incompetent core.
A geologist examines the drill core and marks out the intervals to be sampled and the cutting line. Sample lengths are mostly 1.0 metre and adjusted to respect lithological and/or mineralogical contacts and isolate narrow (<1.0m) veins or other structures that may yield higher grades.
Technicians saw the core along the defined cutting line. One-half of the core is kept as a witness sample and the other half is submitted for analysis. Individual sample bags are sealed and placed into totes, which are then sealed and marked with the contents.
New Found has submitted samples for gold determination by fire assay to ALS Canada Ltd. (“ALS”) and by photon assay to MSALABS (“MSA”) since June 2022. As of February 2024, gold analysis at ALS has been performed by photon assay. ALS and MSA operate under a commercial contract with New Found.
Drill core samples are shipped to ALS for sample preparation in Sudbury, Ontario, Thunder Bay, Ontario, or Moncton, New Brunswick. ALS is an ISO-17025 accredited laboratory for the fire assay and photon assay methods.
Drill core samples are also submitted to MSA in Val-d’Or, Quebec. MSA operates numerous laboratories worldwide and maintains ISO-17025 accreditation for many metal determination methods. MSA is an ISO-17025 accredited laboratory for the photon assay method.
At ALS for fire assay, the entire sample is crushed to approximately 70% passing 2mm. A 3,000-g split is pulverized. “Routine” samples do not have visible gold (VG) identified and are not within a mineralized zone. Routine samples are assayed for gold by 30-g fire assay with an inductively-couple plasma spectrometry (ICP) finish. If the initial 30-g fire assay gold result is over 1 g/t, the remainder of the 3,000-g split is screened at 106 microns for screened metallics assay. For the screened metallics assay, the entire coarse fraction (sized greater than 106 microns) is fire-assayed, and two splits of the fine fraction (sized less than 106 microns) are fire-assayed. The three assays are combined on a weight-averaged basis. Samples that have VG identified or fall within a mineralized interval are automatically submitted for screened metallic assay for gold.
Samples submitted to ALS beginning in February 2024 received gold analysis by photon assay whereby the entire sample is crushed to approximately 70% passing 2 mm mesh. The sample is then riffle split and transferred into jars. For “routine” samples that do not have VG identified and are not within a mineralized zone, one (300-500g) jar is analyzed by photon assay. If the jar assays greater than 0.8 g/t, the remaining crushed material is weighed into multiple jars and submitted for photon assay.
For samples that have VG identified, the entire crushed sample is riffle split and weighed into multiple jars that are submitted for photon assay. The assays from all jars are combined on a weight-averaged basis.
At MSA, the entire sample is crushed to approximately 70% passing 2mm. For “routine” samples that do not have VG identified and are not within a mineralized zone, the samples are riffle split to fill one 450g jar for photon assay. If the jar assays greater than 0.8 g/t, the remaining crushed material is weighed into multiple jars and submitted for photon assay.
For samples that have VG identified, the entire crushed sample is weighed into multiple jars and submitted for photon assay. The assays from all jars are combined on a weight-averaged basis.
All samples prepared at ALS or MSA are also analyzed for a multi-element ICP package (ALS method code ME-ICP61) at ALS Vancouver.
Drill program design, Quality Assurance/Quality Control, and interpretation of results are performed by qualified persons employing a rigorous Quality Assurance/Quality Control program consistent with industry best practices. Standards and blanks account for a minimum of 10% of the samples in addition to the laboratory’s internal quality assurance programs.
Quality Control data are evaluated on receipt from the laboratories for failures. Appropriate action is taken if assay results for standards and blanks fall outside allowed tolerances. All results stated have passed New Found’s quality control protocols.
New Found’s quality control program also includes submission of the second half of the core for approximately 2% of the drilled intervals. In addition, approximately 1% of sample pulps for mineralized samples are submitted for re-analysis to a second ISO-accredited laboratory for check assays.
The Company does not recognize any factors of drilling, sampling, or recovery that could materially affect the accuracy or reliability of the assay data disclosed.
The assay data disclosed in this press release have been verified by the Company’s Qualified Person against the original assay certificates.
The Company notes that it has not completed any economic evaluations of its Queensway Project and that the Queensway Project does not have any resources or reserves.
Qualified Person
The scientific and technical information disclosed in this press release was reviewed and approved by Greg Matheson, P. Geo., Chief Operating Officer, and a Qualified Person as defined under National Instrument 43-101. Mr. Matheson consents to the publication of this press release dated April 17, 2024, by New Found. Mr. Matheson certifies that this press release fairly and accurately represents the scientific and technical information that forms the basis for this press release.
About New Found Gold Corp.
New Found holds a 100% interest in the Queensway Project, located 15km west of Gander, Newfoundland and Labrador, and just 18km from Gander International Airport. The project is intersected by the Trans-Canada Highway and has logging roads crosscutting the project, high voltage electric power lines running through the project area, and easy access to a highly skilled workforce. The Company is currently undertaking a 650,000m drill program at Queensway and is well funded for this program with cash and marketable securities of approximately $53.6 million as of April 2024.
Please see the Company’s website at www.newfoundgold.ca and the Company’s SEDAR+ profile at www.sedarplus.ca.
Acknowledgements
New Found acknowledges the financial support of the Junior Exploration Assistance Program, Department of Natural Resources, Government of Newfoundland and Labrador.
Contact
To contact the Company, please visit the Company’s website, www.newfoundgold.ca and make your request through our investor inquiry form. Our management has a pledge to be in touch with any investor inquiries within 24 hours.
New Found Gold Corp.
Per: “Collin Kettell”
Collin Kettell, Chief Executive Officer
Email: [email protected]
Phone: +1 (845) 535-1486
Neither the TSX Venture Exchange nor its Regulation Services Provider (as that term is defined in the policies of the TSX Venture Exchange) accepts responsibility for the adequacy or accuracy of this release.
Forward-Looking Statement Cautions
This press release contains certain “forward-looking statements” within the meaning of Canadian securities legislation, relating to exploration, drilling and mineralization on the Company’s Queensway gold project in Newfoundland and Labrador; assay results; the interpretation of drilling and assay results, the results of the drilling program, mineralization and the discovery of zones of high-grade gold mineralization; plans for future exploration and drilling and the timing of same; the merits of the Queensway project; future press releases by the Company; and funding of the drilling program. Although the Company believes that such statements are reasonable, it can give no assurance that such expectations will prove to be correct. Forward-looking statements are statements that are not historical facts; they are generally, but not always, identified by the words “expects”, “plans”, “anticipates”, “believes”, “interpreted”, “intends”, “estimates”, “projects”, “aims”, “suggests”, “demonstrates”, “encouraging”, “indicate”, “often”, “target”, “future”, “likely”, “pending”, “potential”, “goal”, “objective”, “prospective”, “possibly”, “preliminary”, and similar expressions, or that events or conditions “will”, “would”, “may”, “can”, “could” or “should” occur, or are those statements, which, by their nature, refer to future events. The Company cautions that forward-looking statements are based on the beliefs, estimates and opinions of the Company’s management on the date the statements are made, and they involve a number of risks and uncertainties. Consequently, there can be no assurances that such statements will prove to be accurate and actual results and future events could differ materially from those anticipated in such statements. Except to the extent required by applicable securities laws and the policies of the TSX Venture Exchange, the Company undertakes no obligation to update these forward-looking statements if management’s beliefs, estimates or opinions, or other factors, should change. Factors that could cause future results to differ materially from those anticipated in these forward-looking statements include risks associated with possible accidents and other risks associated with mineral exploration operations, the risk that the Company will encounter unanticipated geological factors, risks associated with the interpretation of assay results and the drilling program, the possibility that the Company may not be able to secure permitting and other governmental clearances necessary to carry out the Company’s exploration plans, the risk that the Company will not be able to raise sufficient funds to carry out its business plans, and the risk of political uncertainties and regulatory or legal changes that might interfere with the Company’s business and prospects. The reader is urged to refer to the Company’s Annual Information Form and Management’s discussion and Analysis, publicly available through the Canadian Securities Administrators’ System for Electronic Document Analysis and Retrieval (SEDAR+) at www.sedarplus.ca for a more complete discussion of such risk factors and their potential effects.

