Vancouver, BC, March 26, 2024 – New Found Gold Corp. (“New Found” or the “Company”) (TSX-V: NFG, NYSE-A: NFGC) is pleased to announce the results from 38 diamond drill holes that were completed as part of a program designed to expand on a new discovery called ‘Iceberg Alley’ that is located 1km along strike of Iceberg, as well as 114 diamond drill holes that were completed to test a segment of the Keats Baseline Fault Zone (“KBFZ”) that trends under South Hermans Pond at the Keats Zone adjacent to the highly prospective Appleton Fault Zone (“AFZ”). New Found’s 100%-owned Queensway project comprises a 1,665 km2 area, accessible via the Trans-Canada Highway, 15km west of Gander, Newfoundland and Labrador.
Iceberg Alley Highlights:

Note that the host structures are interpreted to be steeply dipping and true widths are generally estimated to be 170% to 95% and 240% to 70%. Infill veining in secondary structures with multiple orientations crosscutting the primary host structures are commonly observed in drill core which could result in additional uncertainty in true width. Composite intervals reported carry a minimum weighted average of 1 g/t Au diluted over a minimum core length of 2m with a maximum of 4m consecutive dilution when above 200m vertical depth and 2m consecutive dilution when below 200m vertical depth. Included high-grade intercepts are reported as any consecutive interval with grades greater than 10 g/t Au. Grades have not been capped in the averaging and intervals are reported as drill thickness.
- The highlight interval of 187 g/t Au over 2.55m in NFGC-23-1941 is part of a newly discovered zone called Iceberg Alley that was intersected as part of a targeted program to follow the eastern continuation of the Keats-Iceberg-Iceberg East corridor along the high-grade KBFZ. Based on the fault characteristics observed at Iceberg Alley, as well as the zone’s orientation, intensity, and width of the damage zone, the Company’s preliminary interpretation indicates that it is another displaced segment of the KBFZ, in a northward direction.
- Additional highlights from immediate follow-up drilling include 29.0 g/t Au over 2.50m in NFGC-23-1927, 9.51 g/t Au over 3.30m in NFGC-24-1972, and 12.5 g/t Au over 2.00m in NFGC-24-2035.
- These intervals currently define a high-grade domain that spans 30m wide by 60m deep, starting close to surface. Follow-up drilling is planned at Iceberg Alley to follow this structure along strike to the east.
Keats Highlights:

Note that the host structures are interpreted to be steeply dipping and true widths are generally estimated to be 170% to 95%, 240% to 70%, and 310% to 40%. 4True widths are unknown at this time. Infill veining in secondary structures with multiple orientations crosscutting the primary host structures are commonly observed in drill core which could result in additional uncertainty in true width. Composite intervals reported carry a minimum weighted average of 1 g/t Au diluted over a minimum core length of 2m with a maximum of 4m consecutive dilution when above 200m vertical depth and 2m consecutive dilution when below 200m vertical depth. Included high-grade intercepts are reported as any consecutive interval with grades greater than 10 g/t Au. Grades have not been capped in the averaging and intervals are reported as drill thickness.
- At Keats, all results have now been received from a shallow step-out program that utilized a barge-mounted drill situated on South Hermans Pond. This program was designed to test the shallow continuation of the KBFZ that was inaccessible from land. Today’s results confirm the near-surface continuation of the Keats Main Zone, a gold-mineralized segment of the KBFZ that has a strike length of 575m and starts at surface.
- Highlights from the barge program include 34.4 g/t Au over 3.55m in NFGC-23-1967 which is hosted by the East-West Vein, a known high-grade vein that was exposed by the Keats Trench and found to contain a high concentration of coarse gold (November 17, 2023). This interval is 275m along strike, west of the exposed segment in the trench.
- Drilling from both the barge and from on-land extensions of drill holes originally targeting the Keats Main Zone expanded on a series of mineralized structures located between the Keats Main Zone and the AFZ. Within this domain of rock, there are several lower-grade structures that trend parallel to the AFZ but also contain domains of localized high-grade gold. Example highlight intervals include 1.71 g/t Au over 14.30m in NFGC-22-914 located ~350m down-dip of NFGC-22-825, containing 20.8 g/t Au over 2.00m and 11.6 g/t Au over 2.55m (December 5, 2022). NFGC-23-1777 located a further 155m along strike to the southwest graded 15.9 g/t Au over 2.00m. This area of mineralization immediately east of the AFZ remains poorly tested at depth and will be a focus of future deep drilling efforts.
Melissa Render, VP of Exploration of New Found, stated: “The high-grade intercepts at Iceberg Alley are very encouraging. This newly identified zone shares many features and characteristics with the KBFZ which is host to the high-grade Keats, Iceberg, and Iceberg East discoveries. Iceberg Alley was discovered in an attempt to extend Iceberg East to beyond the Road Zone and our preliminary interpretation indicates that Iceberg Alley likely represents another displaced segment of the KBFZ. The KBFZ is known to be important for concentrating high-grade gold and understanding the location of this fault is significant for ongoing exploration targeting.
“Meanwhile, at Keats, we have now received all of the results from the barge program and we are pleased with the outcome, adding critical information and delineating the up-dip extent of mineralization associated with the Keats-Baseline Fault Zone underneath South Hermans Pond in addition to adding continuity and extent to the series of gold mineralized structures that exist between the Keats Main Zone and the AFZ (Keats Footwall). This program was completed on time, on budget, and with no incidents. Exploration will now test the down-dip extensions of these structures and target areas where they potentially interact with structures interpreted in the seismic data.”

^Note that these photos are not intended to be representative of gold mineralization in NFGC-22-914, NFGC-23-1730, NFGC-23-1941, and NFGC-23-1967.



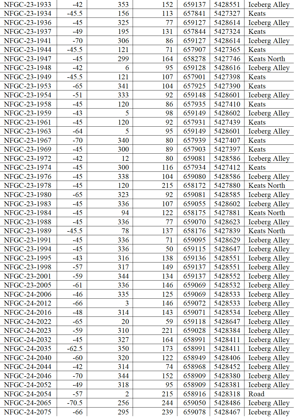
Drillhole Details





Note that the host structures are interpreted to be moderately to steeply dipping and true widths are generally estimated to be 170% to 95%, 240% to 70%, and 310% to 40% of reported intervals. 4True widths are unknown at this time. Infill veining in secondary structures with multiple orientations crosscutting the primary host structures are commonly observed in drill core which could result in additional uncertainty in true width. Composite intervals reported carry a minimum weighted average of 1 g/t Au diluted over a minimum core length of 2m with a maximum of 4m consecutive dilution when above 200m vertical depth and 2m consecutive dilution when below 200m vertical depth. Included high-grade intercepts are reported as any consecutive interval with grades greater than 10 g/t Au. Grades have not been capped in the averaging and intervals are reported as drill thickness. *Previously reported interval.



Queensway 650,000m Drill Program Update
The Company is currently undertaking a 650,000m drill program at Queensway and approximately 3,500m of core is currently pending assay results.
Sampling, Sub-sampling, and Laboratory
All drilling recovers HQ core. The drill core is split in half using a diamond saw or a hydraulic splitter for rare intersections with incompetent core.
A geologist examines the drill core and marks out the intervals to be sampled and the cutting line. Sample lengths are mostly 1.0 meter and adjusted to respect lithological and/or mineralogical contacts and isolate narrow (<1.0m) veins or other structures that may yield higher grades.
Technicians saw the core along the defined cutting line. One-half of the core is kept as a witness sample and the other half is submitted for analysis. Individual sample bags are sealed and placed into totes, which are then sealed and marked with the contents.
New Found has submitted samples for gold determination by fire assay to ALS Canada Ltd. (“ALS”) and by photon assay to MSALABS (“MSA”) since June 2022. As of February 2024, gold analysis at ALS has been performed by photon assay. ALS and MSA operate under a commercial contract with New Found.
Drill core samples are shipped to ALS for sample preparation in Sudbury, Ontario, Thunder Bay, Ontario, or Moncton, New Brunswick. ALS is an ISO-17025 accredited laboratory for the fire assay and photon assay methods.
Drill core samples are also submitted to MSA in Val-d’Or, Quebec. MSA operates numerous laboratories worldwide and maintains ISO-17025 accreditation for many metal determination methods. MSA is an ISO-17025 accredited laboratory for the photon assay method.
At ALS for fire assay, the entire sample is crushed to approximately 70% passing 2mm. A 3,000-g split is pulverized. “Routine” samples do not have visible gold (VG) identified and are not within a mineralized zone. Routine samples are assayed for gold by 30-g fire assay with an inductively-couple plasma spectrometry (ICP) finish. If the initial 30-g fire assay gold result is over 1 g/t, the remainder of the 3,000-g split is screened at 106 microns for screened metallics assay. For the screened metallics assay, the entire coarse fraction (sized greater than 106 microns) is fire-assayed, and two splits of the fine fraction (sized less than 106 microns) are fire-assayed. The three assays are combined on a weight-averaged basis. Samples that have VG identified or fall within a mineralized interval are automatically submitted for screened metallic assay for gold.
Samples submitted to ALS beginning in February 2024, received gold analysis by photon assay whereby the entire sample is crushed to approximately 70% passing 2 mm mesh. The sample is then riffle split and transferred into jars. For “routine” samples that do not have VG identified and are not within a mineralized zone, one (300-500g) jar is analyzed by photon assay. If the jar assays greater than 0.8 g/t, the remaining crushed material is weighed into multiple jars and submitted for photon assay.
For samples that have VG identified, the entire crushed sample is riffle split and weighed into multiple jars that are submitted for photon assay. The assays from all jars are combined on a weight-averaged basis.
At MSA, the entire sample is crushed to approximately 70% passing 2mm. For “routine” samples that do not have VG identified and are not within a mineralized zone, the samples are riffle split to fill one 450g jar for photon assay. If the jar assays greater than 0.8 g/t, the remaining crushed material is weighed into multiple jars and submitted for photon assay.
For samples that have VG identified, the entire crushed sample is weighed into multiple jars and submitted for photon assay. The assays from all jars are combined on a weight-averaged basis.
All samples prepared at ALS or MSA are also analyzed for a multi-element ICP package (ALS method code ME-ICP61) at ALS Vancouver.
Drill program design, Quality Assurance/Quality Control, and interpretation of results are performed by qualified persons employing a rigorous Quality Assurance/Quality Control program consistent with industry best practices. Standards and blanks account for a minimum of 10% of the samples in addition to the laboratory’s internal quality assurance programs.
Quality Control data are evaluated on receipt from the laboratories for failures. Appropriate action is taken if assay results for standards and blanks fall outside allowed tolerances. All results stated have passed New Found’s quality control protocols.
New Found’s quality control program also includes submission of the second half of the core for approximately 2% of the drilled intervals. In addition, approximately 1% of sample pulps for mineralized samples are submitted for re-analysis to a second ISO-accredited laboratory for check assays.
The Company does not recognize any factors of drilling, sampling, or recovery that could materially affect the accuracy or reliability of the assay data disclosed.
The assay data disclosed in this press release have been verified by the Company’s Qualified Person against the original assay certificates.
The Company notes that it has not completed any economic evaluations of its Queensway Project and that the Queensway Project does not have any resources or reserves.
Qualified Person
The scientific and technical information disclosed in this press release was reviewed and approved by Greg Matheson, P. Geo., Chief Operating Officer, and a Qualified Person as defined under National Instrument 43-101. Mr. Matheson consents to the publication of this press release dated March 26, 2024, by New Found. Mr. Matheson certifies that this press release fairly and accurately represents the scientific and technical information that forms the basis for this press release.
About New Found Gold Corp.
New Found holds a 100% interest in the Queensway Project, located 15km west of Gander, Newfoundland and Labrador, and just 18km from Gander International Airport. The project is intersected by the Trans-Canada Highway and has logging roads crosscutting the project, high voltage electric power lines running through the project area, and easy access to a highly skilled workforce. The Company is currently undertaking a 650,000m drill program at Queensway and is well funded for this program with cash and marketable securities of approximately $49 million as of March 2024.
Please see the Company’s website at www.newfoundgold.ca and the Company’s SEDAR+ profile at www.sedarplus.ca.
Acknowledgements
New Found acknowledges the financial support of the Junior Exploration Assistance Program, Department of Natural Resources, Government of Newfoundland and Labrador.
Contact
To contact the Company, please visit the Company’s website, www.newfoundgold.ca and make your request through our investor inquiry form. Our management has a pledge to be in touch with any investor inquiries within 24 hours.
New Found Gold Corp.
Per: “Collin Kettell”
Collin Kettell, Chief Executive Officer
Email: [email protected]
Phone: +1 (845) 535-1486
Neither the TSX Venture Exchange nor its Regulation Services Provider (as that term is defined in the policies of the TSX Venture Exchange) accepts responsibility for the adequacy or accuracy of this release.
Forward-Looking Statement Cautions
This press release contains certain “forward-looking statements” within the meaning of Canadian securities legislation, relating to exploration, drilling and mineralization on the Company’s Queensway gold project in Newfoundland and Labrador; assay results; the interpretation of drilling and assay results, the results of the drilling program, mineralization and the discovery of zones of high-grade gold mineralization; plans for future exploration and drilling and the timing of same; the merits of the Queensway project; future press releases by the Company; and funding of the drilling program. Although the Company believes that such statements are reasonable, it can give no assurance that such expectations will prove to be correct. Forward-looking statements are statements that are not historical facts; they are generally, but not always, identified by the words “expects”, “plans”, “anticipates”, “believes”, “interpreted”, “intends”, “estimates”, “projects”, “aims”, “suggests”, “demonstrates”, “encouraging”, “indicate”, “often”, “target”, “future”, “likely”, “pending”, “potential”, “goal”, “objective”, “prospective”, “possibly”, “preliminary”, and similar expressions, or that events or conditions “will”, “would”, “may”, “can”, “could” or “should” occur, or are those statements, which, by their nature, refer to future events. The Company cautions that forward-looking statements are based on the beliefs, estimates and opinions of the Company’s management on the date the statements are made, and they involve a number of risks and uncertainties. Consequently, there can be no assurances that such statements will prove to be accurate and actual results and future events could differ materially from those anticipated in such statements. Except to the extent required by applicable securities laws and the policies of the TSX Venture Exchange, the Company undertakes no obligation to update these forward-looking statements if management’s beliefs, estimates or opinions, or other factors, should change. Factors that could cause future results to differ materially from those anticipated in these forward-looking statements include risks associated with possible accidents and other risks associated with mineral exploration operations, the risk that the Company will encounter unanticipated geological factors, risks associated with the interpretation of assay results and the drilling program, the possibility that the Company may not be able to secure permitting and other governmental clearances necessary to carry out the Company’s exploration plans, the risk that the Company will not be able to raise sufficient funds to carry out its business plans, and the risk of political uncertainties and regulatory or legal changes that might interfere with the Company’s business and prospects. The reader is urged to refer to the Company’s Annual Information Form and Management’s discussion and Analysis, publicly available through the Canadian Securities Administrators’ System for Electronic Document Analysis and Retrieval (SEDAR+) at www.sedarplus.ca for a more complete discussion of such risk factors and their potential effects.

