Vancouver, BC, December 2, 2024 – New Found Gold Corp. (“New Found” or the “Company”) (TSX-V: NFG, NYSE-A: NFGC) is pleased to announce the results of the second phase of channel samples from the Keats Trench and an update on the Iceberg Trench at the Queensway Project (“Queensway”), located on the Trans-Canada Highway 15km west of Gander, Newfoundland.
Keats Trench Phase II Highlights:


Infill veining in secondary structures with multiple orientations crosscutting the primary host structures are commonly observed which could result in additional uncertainty in true width. Undulations in the bedrock surface could also result in additional uncertainty in true width. Composite intervals reported carry a minimum weighted average of 1 g/t Au diluted over a minimum channel length of 2m with a maximum of 4m consecutive dilution. Included high-grade intercepts are reported as any consecutive interval with grades greater than 10 g/t Au. Grades have not been capped in the averaging and intervals are reported as channel length. * Full composite composed of samples greater than 10 g/t Au, no Including interval inserted.
- The Phase II channel sampling program at Keats was designed to increase sample density along high-grade veins to determine grade variability and assess vein domains oblique to the Phase I (September 23, 2024) systematic channel sampling grid.
- The channel sampling results have demonstrated good continuity of high-grade gold mineralization across 77m of strike on the East-West Vein (“EW Vein”) and 60m of strike on the Keats Main Vein (Figures 2 and 3).
- These veins form principal components of the Keats Zone and are associated with the Keats-Baseline Fault Zone (“KBFZ”). They extend well beyond what is exposed in the Keats Trench both along strike and to depth and are also found in association with other high-grade vein arrays that host significant gold mineralization at Keats.
- The Keats Main Vein has been drill defined over 520m of strike with an average down-dip extent of 200m and ranges in true width from 1-4m. The EW Vein has been structurally stacked and forms a series of at least five high-grade vein panels that range in strike length from 20-90m and are drill defined to depths of 120m, with true widths ranging from 1-5m.
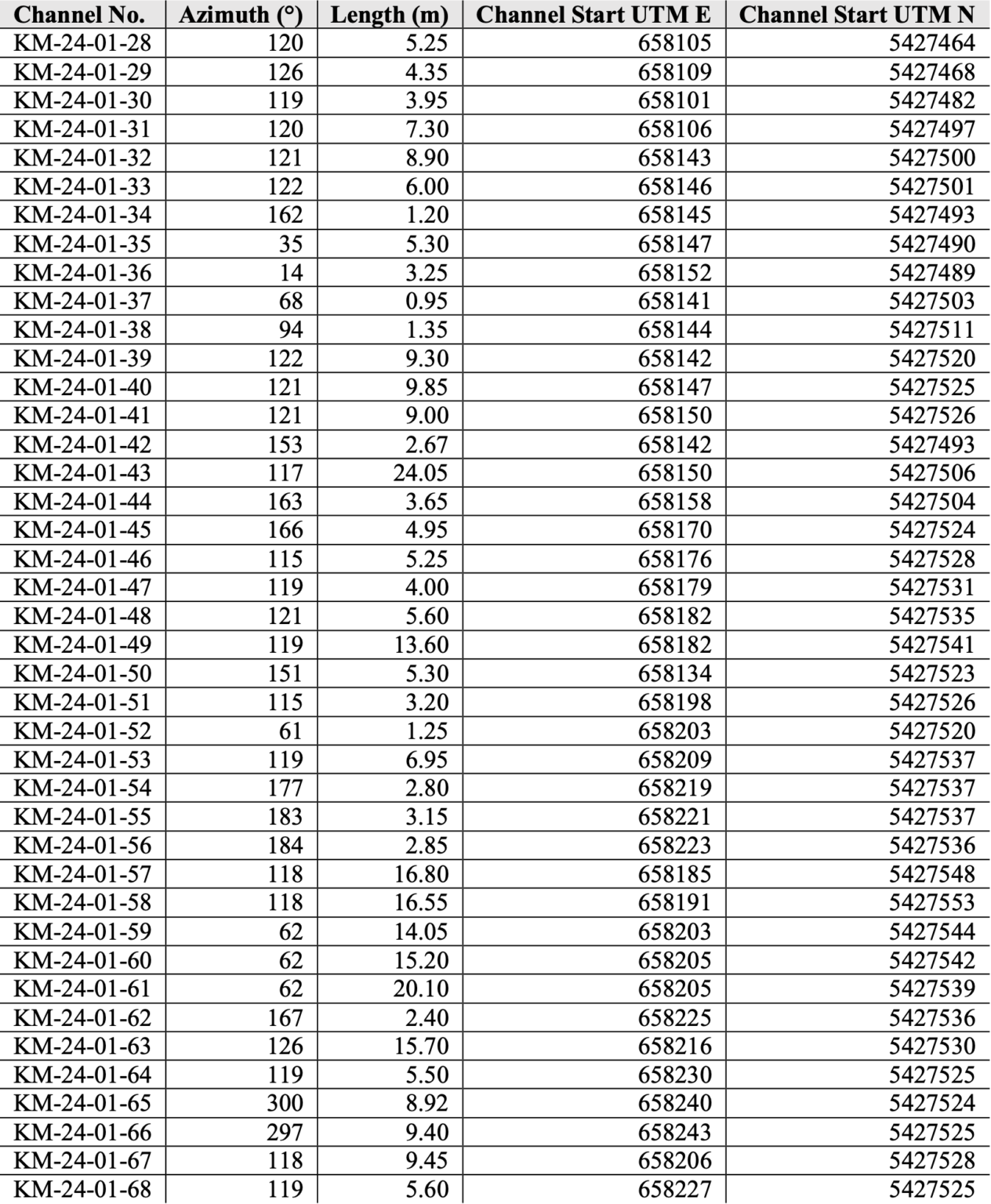
- EW Vein highlights from Phase II include 455 g/t Au over 4.05m in KM-24-01-64, 137 g/t Au over 4.03m in KM-24-01-66, 331 g/t Au over 2.85m in KM-24-01-56, and 221 g/t Au over 2.85m in KM-24-01-55. These infill intervals compare well with the along strike Phase I channel samples and nearby drilling. In areas with increased vein complexity, intervals can be upwards of 10m wide as demonstrated by the following Phase II highlights of 58.6 g/t Au over 11.55m in KM-24-01-59, 22.1 g/t Au over 14.20m in KM-24-01-60, and 36.6 g/t Au over 14.55m in KM-24-01-63 and results from Phase I.
- Keats Main Vein highlights from Phase II include 73.6 g/t Au over 4.95m in KM-24-01-45, 54.3 g/t Au over 2.35m in KM-24-01-50, and 26.9 g/t Au over 2.30m in KM-24-01-47. These infill results are typical widths and grades of this segment of the exposed Keats Main Vein and demonstrate good continuity comparing well with the along strike Phase I channel samples and neighbouring drilling.
- The Keats Trench exposed a 200m by 70m wide area, roughly corresponding to the surface expression of a portion of the Keats Main Zone, previously obscured by overburden.
- The Phase II channel sampling program consisted of 41-lines with a total sampled length of 305m consisting of 455 individual samples. The Keats Trench Phase I channel sampling program was completed across the entire bedrock surface in the trench and consisted of a 27-line sampling grid spaced 7.5m apart, covering a total length of 1,782m that includes 2200 individual samples.
Iceberg Trench Update:
- A surface trench at the Iceberg Zone was announced on July 3, 2024, to excavate between 1-12 metres of overburden that covers the projection of the Iceberg Zone at the bedrock surface, exposing 220m of strike length over a 105m wide area (Figure 4).
- Excavation and preliminary geological mapping of the Iceberg Trench is now complete exposing a continuous 220m long segment of the Iceberg Zone. The exposed mineralization in the Iceberg Trench shows a continuous linear fault segment containing broad quartz veins with near perfect correlation to the Company’s drill defined geological model (Figures 4 and 5).
- The Company intends to conduct systematic channel sampling to assess the grade distribution of the Iceberg Trench in 2025.
Greg Matheson, COO of New Found, stated: “Channel sampling of the Keats Trench has given us greater confidence in the grade distribution of both very high-grade vein domains and secondary structural orientations that may have been missed through drilling alone. The Phase I program successfully defined broad zones of high-grade mineralization along with many geological insights. The Phase II sampling program has given us a considerable amount of data for understanding grade variability and clearly demonstrates good continuity of high-grade gold both in the EW and Keats Main Vein domains in addition to other secondary vein zones within the KBFZ. This detailed assessment of variability is extremely important when dealing with coarse gold systems like we have at Keats and elsewhere at the Queensway Project. The information gained from the Keats Trench will also support the initial mineral resource estimate the Company has scheduled for Q2 2025 (November 6, 2024).
“The Iceberg Zone was another blind discovery at the project and until recently only defined through drilling alone. It’s truly impressive to see the accuracy of the drill defined model and the continuous nature of the Iceberg Zone along the entire 220m excavated interval. Similar to Keats, we will aim to channel sample the zone at a much higher density than has been tested through drilling and build a detailed assessment of grade distribution at Iceberg.”

^Note that these photos are not intended to be representative of gold mineralization in KM-24-01-64







Infill veining in secondary structures with multiple orientations crosscutting the primary host structures are commonly observed which could result in additional uncertainty in true width. Undulations in the bedrock surface could also result in additional uncertainty in true width. Composite intervals reported carry a minimum weighted average of 1 g/t Au diluted over a minimum channel length of 2m with a maximum of 4m consecutive dilution. Included high-grade intercepts are reported as any consecutive interval with grades greater than 10 g/t Au. Grades have not been capped in the averaging and intervals are reported as channel length. * Full composite composed of samples greater than 10 g/t Au, no Including interval inserted.

Queensway 650,000m Drill Program Update
The Company is currently undertaking a 650,000m drill program at Queensway.
Sampling, Sub-sampling, and Laboratory
All channel samples are collected directly from the bedrock.
A geologist examines the bedrock and marks out the intervals to be sampled and the cutting line. Sample lengths are mostly 1.0 metre and adjusted to respect lithological and/or mineralogical contacts and isolate narrow (<1.0m) veins or other structures that may yield higher grades.
Technicians saw the channel along the cut line, producing two lines 5 cm apart and approximately 6-8 cm deep. The sample is removed from the bedrock and placed into sample bags. Individual sample bags are sealed and placed into totes, which are then sealed and marked with the contents.
New Found has submitted channel samples for gold determination photon assay or screened metallic at ALS in Thunder Bay, Ontario. ALS is an ISO-17025 accredited laboratory for the photon assay and screened metallic methods.
Samples submitted to ALS received gold analysis by photon assay whereby the entire sample is crushed to approximately 70% passing 2 mm mesh. The sample is then riffle split and transferred into jars. For “routine” samples that do not have VG identified and are not within a mineralized zone, one (300-500g) jar is analyzed by photon assay. If the jar assays greater than 0.8 g/t, the remaining crushed material is weighed into multiple jars and submitted for photon assay.
For samples that have VG identified, the entire crushed sample is riffle split and weighed into multiple jars that are submitted for photon assay. The assays from all jars are combined on a weight-averaged basis.
For samples which returned values >350 g/t, the samples were submitted for screen metallic. All jars were analysed, with results combined as a weighted average. For the screened metallics assay, the entire coarse fraction (sized greater than 106 microns) is fire-assayed, and two splits of the fine fraction (sized less than 106 microns) are fire-assayed with a gravimetric finish.
Channel sample design, Quality Assurance/Quality Control, and interpretation of results are performed by qualified persons employing a rigorous Quality Assurance/Quality Control program consistent with industry best practices. Standards and blanks account for a minimum of 10% of the samples in addition to the laboratory’s internal quality assurance programs.
Quality Control data are evaluated on receipt from the laboratories for failures. Appropriate action is taken if assay results for standards and blanks fall outside allowed tolerances. All results stated have passed New Found’s quality control protocols.
New Found’s quality control program also includes submission of a duplicate channel for 2% of the channel sample intervals. In addition, approximately 1% of sample pulps for mineralized samples are submitted for re-analysis to a second ISO-accredited laboratory for check assays.
The Company does not recognize any factors sampling, or recovery that could materially affect the accuracy or reliability of the assay data disclosed.
The assay data disclosed in this press release have been verified by the Company’s Qualified Person against the original assay certificates.
The Company notes that it has not completed any economic evaluations of its Queensway Project and that the Queensway Project does not have any resources or reserves.
Qualified Person
The scientific and technical information disclosed in this press release was reviewed and approved by Greg Matheson, P. Geo., Chief Operating Officer, and a Qualified Person as defined under National Instrument 43-101. Mr. Matheson consents to the publication of this press release dated December 2, 2024, by New Found. Mr. Matheson certifies that this press release fairly and accurately represents the scientific and technical information that forms the basis for this press release.
About New Found Gold Corp.
New Found holds a 100% interest in the Queensway Project, located 15km west of Gander, Newfoundland and Labrador, and just 18km from Gander International Airport. The project is intersected by the Trans-Canada Highway and has logging roads crosscutting the project, high voltage electric power lines running through the project area, and easy access to a highly skilled workforce. The Company is currently undertaking a 650,000m drill program at Queensway and is well funded for this program with cash and marketable securities of approximately $28 million as of December 2024.
Please see the Company’s website at www.newfoundgold.ca and the Company’s SEDAR+ profile at www.sedarplus.ca.
Acknowledgements
New Found acknowledges the financial support of the Junior Exploration Assistance Program, Department of Natural Resources, Government of Newfoundland and Labrador.
Contact
To contact the Company, please visit the Company’s website, www.newfoundgold.ca and make your request through our investor inquiry form. Our management has a pledge to be in touch with any investor inquiries within 24 hours.
New Found Gold Corp.
Per: “Collin Kettell”
Collin Kettell, Chief Executive Officer
Email: [email protected]
Phone: +1 (845) 535-1486
Neither the TSX Venture Exchange nor its Regulation Services Provider (as that term is defined in the policies of the TSX Venture Exchange) accepts responsibility for the adequacy or accuracy of this release.
Forward-Looking Statement Cautions
This press release contains certain “forward-looking statements” within the meaning of Canadian securities legislation, relating to exploration, drilling and mineralization on the Company’s Queensway gold project in Newfoundland and Labrador; the Keats and Iceberg surface trenching programs and the expected next steps, timing and benefits of such programs; assay results; the interpretation of drilling and assay results, the results of drilling programs, mineralization and the discovery of zones of high-grade gold mineralization; plans for future exploration and drilling and the timing of same; the merits of the Queensway project; future press releases by the Company; and funding of the drilling program. Although the Company believes that such statements are reasonable, it can give no assurance that such expectations will prove to be correct. Forward-looking statements are statements that are not historical facts; they are generally, but not always, identified by the words “expects”, “plans”, “anticipates”, “believes”, “interpreted”, “intends”, “estimates”, “projects”, “aims”, “suggests”, “indicate”, “often”, “target”, “future”, “likely”, “pending”, “potential”, “goal”, “objective”, “prospective”, “possibly”, “preliminary”, and similar expressions, or that events or conditions “will”, “would”, “may”, “can”, “could” or “should” occur, or are those statements, which, by their nature, refer to future events. The Company cautions that forward-looking statements are based on the beliefs, estimates and opinions of the Company’s management on the date the statements are made, and they involve a number of risks and uncertainties. Consequently, there can be no assurances that such statements will prove to be accurate and actual results and future events could differ materially from those anticipated in such statements. Except to the extent required by applicable securities laws and the policies of the TSX Venture Exchange, the Company undertakes no obligation to update these forward-looking statements if management’s beliefs, estimates or opinions, or other factors, should change. Factors that could cause future results to differ materially from those anticipated in these forward-looking statements include risks associated with possible accidents and other risks associated with mineral exploration operations, the risk that the Company will encounter unanticipated geological factors, risks associated with the interpretation of exploration, drilling and assay results, the possibility that the Company may not be able to secure permitting and other governmental clearances necessary to carry out the Company’s exploration plans, the risk that the Company will not be able to raise sufficient funds to carry out its business plans, and the risk of political uncertainties and regulatory or legal changes that might interfere with the Company’s business and prospects. The reader is urged to refer to the Company’s Annual Information Form and Management’s discussion and Analysis, publicly available through the Canadian Securities Administrators’ System for Electronic Document Analysis and Retrieval (SEDAR+) at www.sedarplus.ca for a more complete discussion of such risk factors and their potential effects.

